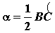
Содержание справочника


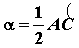
         d=2