Содержание                                                                    Справочник

Можно построить график функции, заданной явно в декартовых и полярных координатах,
а также для функции,заданной в декартовых координатах параметрически , разными
выражениями на разных интервалах изменения аргументов.
Для этого нужно построить в одних осях графики функций, заданных каждым из выражений,
указав явно интервал изменения аргумента.

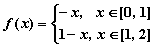
Пример:
Для того чтобы построить график функции 
нужно ввести -x; 0,1 и 1 - x; 1,2

Демонстрация                                                                Пример