Содержание                                                                        Справочник

Для того чтобы построить график функции, y=f(x),заданной явно в декартовых координатах,
нужно пометитьпозицию Декартова в окне тип графика , нажать кнопку OK и ввести в
Окне графиков в нижней (правой) части выражение f(x) для функции, зависящей от
аргумента x. По умолчанию график строится для значений аргумента, указанных на оси
абсцисс в момент определения функции. Для того чтобы явно указать интервал изменения
аргумента, нужно после выражения для функции ввести символ “;” и затем, разделяя
запятой, ввести границыинтервала изменения аргумента.
Можно построить график функции, аргумент которой имеет другое имя, изменив
имена осей координат.
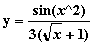
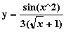
Пример. Для того чтобы построить график функции нужно ввести
sin(x^2)/ 3/ (sqrt(x) + 1)
Для того чтобы построить график функции для x из [2,3.5] нужно
ввести sin( x^2) / 3 / (sqrt (x) + 1); 2,3.5

Демонстрация                                                                  Пример