Содержание                                                                    Справочник

  Ниже приведена таблица функций комбинаторики, определенных в ArtSGraph (Формуле).
В левом столбце таблицы приведено определение функции в программе, в правом
— название функции и обозначение в традиционной математической нотации.
Обозначения: m, n — целые числа.
 
Функция Название и определение
n! n!, факториал, произведение натуральных чисел, от 1 до n
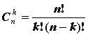
cnk(m,n) Сnk, биномиальный коэффициент, 
fact(m) разложение целого числа на простые множители

 Результат функции fact(m) — список, в котором в круглых скобках перечислены простые
множители числа и их степени.
Пример: Число 32400=(2^4)*(3^4)*(5^2), поэтому результат fact(32400) — ((2,4),(3,4),(5,2))

Демонстрация                                                                Пример