Index
Graph of Piecewise Function

To plot a graoh piecewise function either plot several graphs, each in its part
of function domain; or use logical and compariso functions to define the function
analytically by one expression.
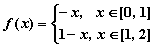
Example. Plot the graph of


1st method
Define two graphs in Cartesian coordinates:
     -x;0,1
     1-x;1,2

2nd method
Define the graph by a single expression in Cartesian coordinates:
     -x*and(ge(x,0),le(x,1))+(1-x)*and(ge(x,1),le(x,2))