В приведенном ниже тексте дано описание решения с помощью ArtSGraph наиболее часто встречающихся математических задач, которые можно решить с помощью ArtSGraph. Для каждой задачи приведена стандартная формулировка, математический метод решения, иногда указано имя файла, в котором сохранено решение задачи, а также описано решение задачи с помощью Art
SGraph.Вычислить
.
|
Введите выражение (вычисления производятся немедленно после нажатия на клавиатуре клавиши Enter) |
Щелкните в Окне Вычислений и введите с клавиатуры root(3,12^2+1)/(sin(sqrt(pi/3))+1) Нажмите Enter |
Вычислить
при
,
и при
,
(Файл 2.mem).
|
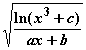
Введите выражение, присвоив ему имя v |
Щелкните в нижней (правой) части окна вычислений и введите с клавиатуры v=sqrt(ln(x^3+c)/(a*x+b)) и нажмите Enter |
|
Введите первый набор значений параметров и выведите на экран значения параметров a, b, c и значение v (значение выражения) |
Введите с клавиатуры x=1 a=2 b=3 c=4 x a b c v и нажмите Enter |
|
Введите второй набор значений параметров и выведите на экран значения параметров a, b, c и значение v |
Введите с клавиатуры x=2 a=3 b=4 c=5 x a b c v и нажмите Enter |
Вычислить
при
(Файл 3.mem).
|
Определите функцию ![]() |
Щелкните в нижней (правой) части Окна Вычислений, введите с клавиатуры f=exp(-x^2/2) и нажмите Enter |
| Определите значения x, выведите на экран значения x и f (соответствующие значения функции) |
Введите с клавиатуры x=1 x f x=1.2 x f x=1.5 x f и нажмите Enter |

Построить график функции
.
Первый способ (Файл
4.mem).|
Определите функцию |
Щелкните в нижней ( правой) части Окна Вычислений, введите с клавиатуры f=sin(x)/x и нажмите Enter |
|
Откройте графическое окно |
Меню Окно — Новое графическое окно |
|
Определите тип функции |
В щелкните дважды справа (внизу) в Окне Графиков —Тип линии (выберите Декартова) |
|
Определите график |
Введите с клавиатуры имя функции f и нажмите Enter |
|
Увеличьте вдвое интервал изменения аргумента |
Меню Команды — Конфигурация графика — Размеры (щелкните в левой половине окна диалога по кнопке со знаком “+”) — ОК |
|
Измените толщину и цвет линии |
Меню Команды — Цвет (выберите цвет)— Толщина (выберите толщину) — ОК |

Второй способ (Файл
4_1.mem).|
Откройте графическое окно |
Меню Окно — Новое графическое окно |
|
Определите тип функции |
Щелкните дважды справа (внизу) в Окне Графиков —Тип линии (выберите Декартова) — ОК |
|
Определите функцию |
Введите с клавиатуры sin(x)/x и нажмите Enter |
Далее действуйте как в описано выше в первом способе построения графика.
Построить график функции
с вертикальными асимптотами и без них.
(Программа умеет строить вертикальные асимптоты графиков функций, заданных в декартовых координатах. Можно строить графики с асимптотами и без них).
Постойте график без асимптот (Файл 5.mem).
|
Откройте графическое окно и отмените автоматическое построение асимптот |
Меню Окно — Новое Графическое окно, Меню Вид (снимите пометку с пункта Асимптоты) |
|
Постройте график |
Меню Команды — Построить новый график — Тип линии (выберите Декартова) — ОК — введите с клавиатуры 1/(1-x^2) и нажмите Enter |

Изобразите на графике асимптоты
(Файл 5_1.mem).Меню Вид (пометьте пункт Асимптоты) — Меню Команды
— Перерисовать график.
Построить график функции, заданной неявно уравнением
(Файл 6.mem).
|
Откройте графическое окно |
Меню Окно — Новое Графическое окно |
|
Установите размер отображаемой области: |
Щелкните дважды по полю графиков, установите в окнах окна диалога Свойства графика соответствующие значения — OK |
|
Постройте график |
Меню Команды — Построить новый график — Тип линии (выберите Линии уровня) — ОК— введите с клавиатуры x^6-x^4+y^2=0 и нажмите Enter |
|
Измените цвет и толщину линии |
Меню Команды — Выберите цвет линии (установите в окне диалога нужные цвет и толщину линии) — OK |

Построить график функции, заданной уравнениями
, (трохоида; при
— циклоида) (Файлы 7.mem и 7_1.mem).
|
Определите функцию x и y переменной t
|
Щелкните внизу (справа) в Окне Вычислений, введите с клавиатуры x=a*(t-l*sin(t)) y=a*(1-l*cos(t)) и нажмите Enter |
|
Присвойте параметрам a и l соответственно значения a=2 l=1.5 |
Щелкните внизу (справа) в Окне Вычислений, введите с клавиатуры a=2 l=1.5 и нажмите Enter |
|
Откройте графическое окно |
Меню Окно — Новое графическое окно |
|
Установите по оси 0x разметку в долях |
Меню Команды — Конфигурация графика — Разметка осей (выберите для оси 0x разметку в долях |
|
Установите размер отображаемой области x О [-pi/2, 6*pi] , y О [-5, 5] |
В Конфигурации графика (окно диалога открыто) — Масштаб (введите в окнах Xmin, Xmax, Ymin, Ymax соотрветственно: -pi/2, 6*pi, -5, 5 ) — OK |
|
Определите тип графика |
Меню Команды — Построить новый график ( выберите в окне диалога Тип линии Параметрическая) |
|
Определите кривую, заданную параметрически, и интервал изменения параметра |
Щелкните справа(внизу) в Окне графиков, введите с клавиатуры (x,y);-pi,3*pi и нажмите Enter |

Исследуйте вид линии при различных значениях параметров
a и l.|
Расположите окна вертикально |
Меню Окно— Расположить окна вертикально |
|
Измените значение параметра l |
Щелкните в поле ввода Окна вычислений, введите с клавиатуры l=0.5 и нажмите Enter |
Действуя аналогично, исследуйте зависимость вида кривой от значений параметра
a.Построить кривую, заданную в уравнением
(трехлепестковая роза) (Файлы 8.mem и 8_1.mem).
|
Определите функцию r переменной fi
|
Щелкните внизу (справа) в Окне Вычислений, введите с клавиатуры r=a*sin(3*fi) и нажмите Enter |
|
Присвойте параметру a значение a=5 |
Щелкните внизу (справа) в Окне Вычислений, введите с клавиатуры a=5 и нажмите Enter |
|
Откройте графическое окно |
Меню Окно — Новое графическое окно |
|
Определите тип графика |
Меню Команды — Построить новый график ( выберите в окне диалога Тип линии Полярная) |
|
Определите кривую, заданную в полярных координатах |
Щелкните справа(внизу) в Окне графиков, введите с клавиатуры r и нажмите Enter |

Исследуйте вид линии при различных значениях параметра
a.|
Расположите окна вертикально |
Меню Окно— Расположить окна вертикально |
|
Измените значение параметра a |
Щелкните в поле ввода Окна вычислений, введите с клавиатуры a=3 и нажмите Enter |


Действуя аналогично, исследуйте зависимость вида кривой от значений параметра
a.Построить квадрат, диагонали которого имеют длину, равную 10, и совпадают с координатными осями. Такой квадрат — замкнутая ломаная линия, вершины которой имеют координаты: (-5, 0), (0, 5), (5,0), (0, -5), (-5, 0) (Файл 10.mem).
|
Откройте окно графиков |
Меню Окно — Новое графическое окно |
|
Определите вершины ломаной и изобразите ее |
Щелкните дважды справа(внизу) в Окне графиков ( выберите в окне Тип функции Ломаная), введите с клавиатуры (-5,0)+(0,5)+(5,0)+(0,-5)+(-5,0) и нажмите Enter |
| Измените толщину и цвет линии |
Меню Команды — Изменить цвет линии(выберите цвет и толщину линии) — OK |

Найти производную функции
(Файл 11.mem).
|
Определите функцию |
Щелкните в поле ввода Окна вычислений, введите с клавиатуры y=exp(sin(1/x)) и нажмите Enter |
|
Найдите производную y, присвоив ей имя y' |
Введите с клавиатуры y' =diff(y,x) и нажмите Enter |

Найти производные второго и третьего порядка от функции
(Файл 12.mem).
|
Определите функцию |
Щелкните в поле ввода Окна вычислений, введите с клавиатуры y=sin(x^2) и нажмите Enter |
|
Найдите вторую производную y, присвоив ей имя y' ' |
Введите с клавиатуры y' ' =diff(diff(y,x),x) и нажмите Enter |
|
Найдите третью производную y, присвоив ей имя y' ' ' |
Введите с клавиатуры y' ' ' =diff(y' ' ,x) и нажмите Enter |

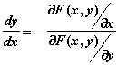
Найти
функции, заданной параметрически уравнениями
(Файл 13.mem
).
Искомая производная вычисляется по формуле
.
|
Определите функции |
Щелкните в поле ввода Окна вычислений, введите с клавиатуры x=t^2 y=2*t*(3-t^2)/5 и нажмите Enter |
|
Найдите производную y по x, присвоив ей имя dyx |
Введите с клавиатуры dyx=diff(y,t)/diff(x,t) и нажмите Enter |

Производная функции
.
|
Определите функцию |
Щелкните в поле ввода Окна вычислений, введите с клавиатуры F=x^6-x^4+y^2 и нажмите Enter |
|
Найдите производную y по x, присвоив ей имя y' |
Введите с клавиатуры y' =-diff(F,x)/diff(F,y) и нажмите Enter |

Найти частные производные
функции трех переменных
(Файл 15.mem).
|
Определите функцию |
Щелкните в поле ввода Окна вычислений, введите с клавиатуры F=x^6*y-y^4*z+x*y*z^2 и нажмите Enter |
|
Найдите частные производные первого порядка |
Введите с клавиатуры Fx=diff(F,x) Fy=diff(F,y) Fz=diff(F,z) и нажмите Enter |
|
Найдите частные производные второго порядка |
Введите с клавиатуры Fxx=diff(Fx,x) Fxy=diff(Fx,y) Fyx=diff(Fy,x) Fxz=diff(Fx,z) Fyy=diff(Fy,y) Fzz=diff(Fz,z) и нажмите Enter |

Найти частные производные
|
Определите функцию |
Щелкните в поле ввода Окна вычислений, введите с клавиатуры F=x^6*y-y^4*z+x*y*z^2 и нажмите Enter |
|
Найдите частные производные |
Введите с клавиатуры Zx=-diff(F,x)/diff(F,z) Zy=diff(F,y)/diff(F,z) и нажмите Enter |

Изобразить линии уровня
для
функции двух переменных
(Файлы 17.mem и 17_1.mem).
|
Определите функцию |
Щелкните внизу (справа) в Окне вычислений, введите с клавиатуры F=x^2/4+y^2/e+exp(2*x+1.5*y) и нажмите Enter |
|
Перейдите в Окно графиков |
Меню Окно — Новое графическое окно |
|
Установите размеры отображаемой области |
Щелкните дважды по полю графика и введите нужные числа в соответствующих полях ввода окна диалога Масштаб |
|
Определите и постройте линии уровня |
Щелкните дважды справа (внизу) в Окне построения графиков, выберите в окне диалога Вид линии — Линии уровня — ОК, введите с клавиатуры F=10,5,2,1,0.5 и нажмите Enter |
|
Разместите Окно вычислений и Окно графиков “по вертикали” |
Меню Окно — Расположить окна по верикали |


|
Просмотрите фрагменты графика в увеличенном масштабе |
Щелкните в Окне графиков. Меню Команды — Большой график — меню Вид — Окно с прокруткой . Щелкните по временному окну прокрутки, передвигайе указатель точки (кисть руки человека) по временному окну и рассматривайте фрагменты графика, отображенные в поле графиков |

Найти градиент, записать уравнения и изобразить касательную и нормаль к линии уровня
функции двух переменных
в точке
. Градиент функции в точке
— вектор
, уравнения касательной и нормали к линии уровня в этой точке имеют соответственно вид:
и
(Файл 18.mem).
Легко проверить подстановкой, что
|
Определите функцию |
Щелкните внизу (справа) в Окне вычислений, введите с клавиатуры F=x^2/4+y^2/e+exp(2*x+1.5*y) и нажмите Enter |
|
Найдите частные производные |
Щелкните внизу (справа) в Окне вычислений, введите с клавиатуры Fx=diff(F,x) Fy=diff(F,y) и нажмите Enter |
|
Вычислите в точке |
Щелкните внизу (справа) в Окне вычислений, введите с клавиатуры x=0 y=0 Fx0=Fx Fy0=Fy и нажмите Enter |
|
Удалите численные значения переменных x и y |
Щелкните внизу (справа) в Окне вычислений, введите с клавиатуры x= y= и нажмите Enter |
|
Определите линейные функции в правых частях уравнений касательной и нормали к линии в точке |
Щелкните внизу (справа) в Окне вычислений, введите с клавиатуры Ft=Fx0*x+Fy0*y Fn=Fy0*x-Fx0*y и нажмите Enter |
|
Перейдите в Окно графиков |
Меню Окно — Новое графическое окно |
|
Установите размеры отображаемой области |
Щелкните дважды по полю графика и введите нужные числа в соответствующих полях ввода окна диалога Масштаб |
|
Определите и постройте линию уровня |
Щелкните дважды справа (внизу) в Окне построения графиков, выберите в окне диалога Вид линии — Линии уровня — ОК, введите с клавиатуры F=1 и нажмите Enter |
|
Определите и постройте линию уровня |
Щелкните дважды справа (внизу) в Окне построения графиков, выберите в окне диалога Вид линии — Линии уровня — ОК, введите с клавиатуры Ft=0 и нажмите Enter |
|
Определите и постройте линию уровня |
Щелкните дважды справа (внизу) в Окне построения графиков, выберите в окне диалога Вид линии — Линии уровня — ОК, введите с клавиатуры Fn=0 и нажмите Enter |

Найти графически, с погрешностью, не превышающей
, все решения уравнения
(Файлы 19.mem, 19_1.mem, 19_2.mem).
Для того чтобы решить это уравнение графически, достаточно найти точки пересечения с осью абсцисс графика функции
|
Откройте графическое окно |
Меню Окно — Новое графическое окно |
|
Определите тип функции |
Щелкните дважды справа (внизу) в Окне Графиков —Тип линии (выберите Декартова)—ОК |
|
Определите функцию |
Введите с клавиатуры x^2+exp(x)-1 и нажмите Enter |

Очевидно, что одно из решений —
|
Найдите на графике второй корень |
Установите как можно точнее указатель мыши на левой точке пересечения графика функции с осью абсцисс и посмотрите в правом нижнем углу экрана координаты указателя мыши. Отображенное там значение |
|
Для того чтобы найти корень точнее воспользуйтесь «микроскопом» |
Щелкните левой клавишей мыши по полю графика и, не отпуская клавиши, растяните выделяющий прямоугольник до нужных размеров и нажмите на клавиатуре клавишу Ctrl |

В новом окне координаты корня определяются значительно точнее.
Выполните последнюю операцию несколько раз, пока длина промежутка, содержащего точку
пересечения графика с осью абсцисс, не станет меньшей

По графику можно установить, что приближенное значение решения —
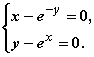
Решить графически систему нелинейных уравнений
(Файлы 20.mem, 20_1.mem).
Для того чтобы решить это уравнение графически, достаточно найти точки пересечения линий
|
Откройте графическое окно |
Меню Окно — Новое графическое окно |
|
Определите тип функции |
Щелкните дважды справа (внизу) в Окне Графиков — Тип линии (выберите Линии уровня) — ОК |
|
Определите линию уровня |
Ведите с клавиатуры x-exp(-y)=0 и нажмите Enter |
|
Определите тип функции |
Щелкните дважды справа (внизу) в Окне Графиков —Тип линии (выберите Линии уровня) — ОК |
|
Определите линию уровня |
Ведите с клавиатуры y-exp(x)=0 и нажмите Enter |

|
Найдите на графике решение системы — координаты точки пересечения линий |
Установите как можно точнее указатель мыши на точке пересечения линий и посмотрите в правом нижнем углу экрана координаты указателя мыши. Отображенные там значения |
|
Для того чтобы найти корень точнее воспользуйтесь «микроскопом» |
Щелкните левой клавишей мыши по полю графика и, не отпуская клавиши, растяните выделяющий прямоугольник до нужных размеров и нажмите на клавиатуре клавишу Ctrl |

Более точное значение решения
Методом простых итераций решить уравнение
. Найти корень с погрешностью, не превышающей
(Файл 21.mem).
Метод простых итераций решения уравнения
Для того чтобы решить методом простых итераций уравнение
|
Определите функцию |
Щелкните внизу(справа) в Окне вычислений, введите с клавиатуры f=sqrt(atg(1/x)) и нажмите Enter |
|
Определите нулевое приближение |
Щелкните внизу(справа) в Окне вычислений , введите с клавиатуры x=1 f x и нажмите Enter |
|
Найдите по формуле |
Щелкните внизу(справа) в Окне вычислений, введите с клавиатуры x=f f x и нажмите Enter |
|
Найдите очередное приближение решения |
Щелкните в строке с командой x=f f x и нажмите Enter |
Повторяйте последнюю операцию до тех пор, пока значения обеих частей уравнения не совпадут до пятого десятичного знака. Приближенное значение решения

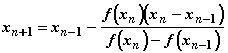
Методом секущих решить уравнение
. Найти корень с погрешностью, не превышающей
(Файл 22.mem).
Метод секущих решения решения уравнения
, сходящейся при Для того чтобы решить методом секущих уравнение
|
Определите функцию |
Щелкните внизу(справа) в Окне вычислений, введите с клавиатуры f=(ln(x))^2-1/x и нажмите Enter |
|
Определите нулевое и первое приближения |
Щелкните внизу(справа) в Окне вычислений, введите с клавиатуры xa=1 xb=3 x=xa fa=f x=xb fb=f xa fa xb fb и нажмите Enter |
|
Найдите по формуле очередное приближение решения, вычислите значение функции в найденной точке и выведите их на экран, присвойте значение предпоследнего приближения решения и соответствующее значение функции переменным xa, fa, а значение последнего приближения решения и соответствующее значение функции — xb, fb; выведите на экран значения |
Щелкните внизу(справа) в Окне вычислений, введите с клавиатуры x=xb-fb*(xb-xa)/(fb-fa) x f xa=xb fa=fb xb=x fb=f xa fx xb fb и нажмите Enter |
|
Найдите очередное приближение решения |
Щелкните в строке с командой x=xb-fb*(xb-xa)/(fb-fa) x f xa=xb fa=fb xb=x fb=f xa fx xb fb и нажмите Enter |

Повторяйте последнюю операцию до тех пор, пока значения двух последовательных приближений не совпадут до пятого десятичного знака. Приближенное значение решения
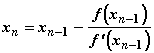
Методом Ньютона решить уравнение
. Найти корень с погрешностью, не превышающей
(Файл 23.mem).
Метод Ньютона решения уравнения
, сходящейся при Для того чтобы решить методом Ньютона уравнение
|
Определите функцию |
Щелкните внизу(справа) в Окне вычислений, введите с клавиатуры f=acos(x^2)-x и нажмите Enter |
|
Найдите производную функции и назовите ее f’ |
Щелкните внизу(справа) в Окне вычислений, введите с клавиатуры f’=diff(f,x) и нажмите Enter |
|
Определите нулевое приближение |
Щелкните внизу(справа) в Окне вычислений, введите с клавиатуры x=0.5 x f и нажмите Enter |
|
Найдите очередное приближение решения, вычислите значение функции в найденной точке и выведите их на экран |
Щелкните внизу(справа) в Окне вычислений, введите с клавиатуры x=x-f/f’ x f и нажмите Enter |
|
Найдите очередное приближение решения |
Щелкните в строке с командой x=x-f/f’ x f и нажмите Enter |

Повторяйте последнюю операцию до тех пор, пока значения двух последовательных приближений не совпадут до пятого десятичного знака. Приближенное значение решения
Построить поле направлений, заданное функцией двух переменных
, которое, в частности, является полем направлений обыкновенного дифференциального уравнения
(Файл 24.mem).
Легко проверить подстановкой, что выражение
|
Перейдите в режим графиков |
Меню Окно — Новое графическое окно |
|
Определите тип функции |
Щелкните дважды справа (внизу) в Окне Графиков —Тип линии (выберите Поле направлений) — ОК |
|
Определите поле направлений |
Щелкните внизу(справа) в Окне Графиков, введите с клавиатуры sin(x)/sin(y) и нажмите Enter |
|
Измените разметку осей |
Щелкните дважды по полю графиков — выберите в окне диалога закладку Разметка осей — выберите для обеих осей (щелкнув в соответствующем окне) разметку в долях |

Постройте семейство интегральных кривых уравнения
|
Определите тип функции |
Щелкните дважды справа (внизу) в Окне Графиков — Тип линии (выберите Линии уровня) — ОК |
|
Определите линии уровня |
Щелкните справа(внизу) в Окне Графиков, введите с клавиатуры cos(x)-cos(y)=-2,-1,0,0.1,0.5,1,2 и нажмите Enter |
|
Измените цвет и толщину линии |
Меню Команды — Изменить цвет и толщину линии — установите в соответствующих окнах ввода нужные цвет и толщину линии — ОК |

Как видно на графике, построенное поле направлений определяет наклон касательных в каждой точке, принадлежащей интегральной кривой уравнения.
Решить методом Эйлера с шагом
задачу Коши
,
на отрезке
(Файлы 25.mem, 25_1.mem).
При решении задачи Коши
|
Определите правую часть уравнения |
Щелкните внизу (справа) в Окне Вычислений, введите с клавиатуры f=y^2*sin(10*x) и нажмите Enter |
|
Определите начальную точку и шаг интегрирования, выведите на экран координаты начальной точки |
Щелкните внизу (справа) в Окне Вычислений, введите с клавиатуры x=0 y=1.4 h=0.1 x y и нажмите Enter |
|
Найдите по формулам Эйлера решение на следующем шаге и выведите на экран новую точку и значение решения в ней |
Щелкните внизу (справа) в Окне Вычислений, введите с клавиатуры y=y+h*f x=x+h x y и нажмите Enter |

Найдено приближенное значение решения
Можно изобразить вычисленное приближенное решение графически. Для этого нужно определить ломаную линию, вершинами которой являются точки с координатами

Из графика видно, что уменьшив шаг интегрирования можно получить более точное решение.
Решить методом Эйлера с шагом
задачу Коши
,
на отрезке
(Файлы 26.mem, 26_1.mem).
При решении задачи Коши
|
Определите правую часть уравнения |
Щелкните внизу (справа) в Окне Вычислений, введите с клавиатуры f=y^2*sin(10*x) и нажмите Enter |
|
Определите начальную точку и шаг интегрирования, выведите на экран координаты начальной точки |
Щелкните внизу (справа) в Окне Вычислений, введите с клавиатуры x=0 y=1.4 h=0.1 x y и нажмите Enter |
|
Найдите по формулам Рунге-Кутты решение на следующем шаге и выведите на экран новую точку и значение решения в ней |
Щелкните внизу (справа) в Окне Вычислений, введите с клавиатуры y0=y k1=f x=x+h/2 y=y0+k1*h/2 k2=f y=y0+k2*h/2 k3=f x=x+h/2 y=y0+k3*h k4=f y=y0+h*(k1+2*k2+2*k3+k4)/6 x y и нажмите Enter |
|
Найдите по тем же формулам решение на следующем шаге и выведите на экран новую точку и значение решения в ней |
Щелкните внизу (справа) в Окне Вычислений по строке с командой y=y+h*f x=x+h x y и нажмите Enter |

Повторяйте последнюю операцию до тех пор, пока значение
Найдено приближенное значение решения
Найти значения Эта задача может быть решена графически. Нужно построить многоугольник, описанный неравенствами
, доставляющие минимум функции
, и удовлетворяющие условиям
(Файл 27.mem).
(он расположена в первом квадранте), построить линии уровня целевой функции —
и определить множество точек (полуплоскость, отрезок, вершину), на котором целевая функция достигает минимума.
|
Откройте окно графиков |
Меню Окно — Новое графическое окно |
|
Измените имена осей и границы отображаемой области |
Меню Команды — Конфигурация графика — выберите в окне диалога закладку Имена — введите в соответствующих полях имена x1 (ось абсцисс), x2 (ось ординат) — выберите закладку Границы области — установите Xmin, Xmax, Ymin и Ymax соответственно равными 0, 250, 0, 300 — ОК |
|
Определите тип функции для построения допустимой области изменения переменных |
Щелкните дважды справа (внизу) в Окне графиков — выберите в окне диалога Тип функции «Линии уровня» — ОК |
|
Введите уравнение для первой границы |
Щелкните справа (внизу) в Окне графиков, введите с клавиатуры x1+2*x2=220 и нажмите Enter |

Аналогично изобразите границы
2*x1+x2=260, 4*x1+5*x2=640 и линию уровня целевой функции 8*x1+12*x2=1000|
Увеличьте значение целевой функции |
Щелкните в последней строке Окна графиков и введите в равенстве 8*x1+12*x2=1000 вместо 1000 сначала 1200, а затем 1400. Видно, что наибольшего значения целевая функция достигает в правой верхней вершине многоугольника, ограниченного тремя прямыми и координатными осями |
|
Для того чтобы точнее определить координаты этой вершины, увеличьте масштаб изображения в ее окрестности |
Щелкните по полю графиков в окрестности нужной вершины, не отпуская клавишу мыши, растяните прямоугольник до нужного размера и нажмите на клавиатуре клавишу Ctrl |

|
Определите координаты вершины многоугольника |
Установите как можно точнее указатель мыши в точке пересечения прямых — координаты указателя мыши отображены в нижнем правом углу окна |
Эти значения, как видно на рисунке —
Вычислите значение целевой функции в найденной точке, выполнив соответствующие вычисления в Окне Вычислений
.|
Перейдите в Окно Вычислений |
Щелкните по Окну Вычислений |
|
Определите значения |
Щелкните внизу (справа) в Окне вычислений, введите с клавиатуры x1=60 x2=80 8*x1+12*x2 и нажмите Enter |

Значение целевой функции равно
1440. Для проверки вычислений полезно изобразить линию уровня|
Вернитесь в Окно графиков |
Щелкните по Окну графиков, щелкните по последней строке справа (внизу) в поле ввода функций, исправьте 1400 на 1440 и нажмите Enter |
Видно, что линия уровня
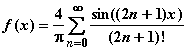
Исследовать сходимость ряда Тейлора
(Файл 28.mem).
Постройте график функции и графики частичных сумм ее ряда Тейлора.
|
Определите первое значение индекса суммирования, первый член и первую частичную сумму ряда Тейлора |
Щелкните внизу (справа) в Окне Вычислений, введите с клавиатуры n=0 a=1 s=a и нажмите Enter |
|
Откройте Окно графиков |
Меню Окно — Окно графиков |
|
Изобразите график функции |
Щелкните дважды справа (внизу) в Окне графиков — выберите в окне диалога Тип функции «Декартова» — ОК — введите с клавиатуры exp(x) и нажмите Enter |
|
Изобразите график частичной суммы s |
Щелкните дважды справа (внизу) в Окне графиков — выберите в окне диалога Тип функции «Декартова» — ОК — введите с клавиатуры s и нажмите Enter |
|
Измените цвет и толщину линии, изображающей функцию |
Щелкните в окне графиков по строке exp(x) — меню Команды — Изменить цвет линии — установите в соответствующих полях ввода окна диалога нужные цвет и толщину функции — ОК |
|
Вернитесь в Окно Вычислений |
Щелкните по окну Вычислений |
|
Определите очередной член ряда, очередную частичную сумму и новое значение индекса суммирования |
Введите с клавиатуры a=a*x/(n+1) s=s+a n=n+1 и нажмите Enter |
|
Вернитесь в Окно графиков |
Щелкните по окну графиков |
Теперь на графике изображена вторая частичная сумма.
| Вычислите очередную частичную сумму |
Вернитесь в Окно Вычислений — Щелкните по окну — Щелкните по строке с командой a=a*x/(n+1) s=s+a n=n+1 и нажмите Enter |

|
Вернитесь в Окно графиков |
Щелкните по окну графиков |

Теперь на графике изображена очередная частичная сумма. Повторите последние операции несколько раз и наблюдайте за изменением графика частичных сумм ряда Тейлора.
Исследовать сходимость ряда Фурье функции

(Файл 29.mem).
Постройте график функции и графики частичных сумм ее ряда Фурье.
|
Определите первое значение индекса суммирования, первый член и первую частичную сумму ряда |
Щелкните внизу (справа) в Окне Вычислений, введите с клавиатуры n=0 s=0 и нажмите Enter |
|
Определите очередной член ряда, очередную частичную сумму и новое значение индекса суммирования |
Введите с клавиатуры a=(4*pi)/(2*n+1) s=s+a*sin((2*n+1)*x) n=n+1 и нажмите Enter |

|
Откройте Окно графиков |
Меню Окно — Окно графиков |
|
Изобразите график функции |
Щелкните дважды справа (внизу) в Окне графиков — выберите в окне диалога Тип функции «Ломаная линия» — ОК— введите с клавиатуры (-pi,-1)+(0,-1)-(0,1)+(pi,1) и нажмите Enter |
|
Изобразите график частичной суммы s |
Щелкните дважды справа (внизу) в Окне графиков — выберите в окне диалога Тип функции «Декартова» — ОК— введите с клавиатуры s и нажмите Enter |
|
Измените цвет и толщину линии, изображающей функцию |
Щелкните в окне графиков по строке (-pi,-1)+(0,-1)-(0,1)+(pi,1) — меню Команды — Изменить цвет линии — установите в соответствующих полях ввода окна диалога нужные цвет и толщину функции — ОК |
|
Вычислите очередную частичную сумму |
Вернитесь в Окно Вычислений — Щелкните по окну — Щелкните по строке с командой a=(4*pi)/(2*n+1) s=s+a*sin((2*n+1)*x) n=n+1 и нажмите Enter |
|
Вернитесь в Окно графиков |
Щелкните по окну графиков |
Теперь на графике изображена очередная частичная сумма. Повторите последние операции несколько раз и наблюдайте за изменением графика частичных сумм ряда Фурье ступенчатой функции.

Исследовать вид графика плотности вероятностей случайной величины, имеющей нормальное распределение, при различных значениях математического ожидания
и среднеквадратичного отклонения
(Файл 30.mem).
Плотность распределения вероятностей случайной величины, имеющей нормальное распределение с математическим ожиданием
.
|
Определите функцию ![]() |
Щелкните внизу (слева) в Окне Вычислений, введите с клавиатуры p=(1/sqrt(2*pi)/s)*exp(-(x-m)^2/2/s^2) и нажмите Enter |
|
Определите значения математического ожидания и дисперсии |
Щелкните внизу (слева) в Окне Вычислений, введите с клавиатуры m=0 s=1 p1=p и нажмите Enter |
|
Определите другие значения математического ожидания и дисперсии |
Щелкните внизу (слева) в Окне Вычислений, введите с клавиатуры m=0 s=3 p2=p и нажмите Enter |
|
Снова определите другие значения математического ожидания и дисперсии |
Щелкните внизу (слева) в Окне Вычислений, введите с клавиатуры m=2 s=2 p3=p и нажмите Enter |

|
Откройте Окно графиков |
Меню Окно — Новое графическое окно |
|
Постройте графики определенных выше функций плотности вероятностей |
Щелкните дважды справа (внизу) в Окне графиков — выберите в окне диалога Тип функции «Декартова» — ОК — введите с клавиатуры p1 и нажмите Enter |
|
Выберите цвет линии |
Меню Команды — Изменить цвет линии — установите в соответствующих полях окна диалога Стиль линии нужные параметры — ОК |

Изобразить кривые второго порядка, заданные уравнениями
,
,
(Файл 31.mem).
|
Откройте графическое окно |
Меню Окно — Новое графическое окно |
|
Постойте первую из заданных кривых |
Щелкните дважды справа(внизу) в Окне графиков —выберите в окне Тип линии «Линии уровня » — ОК — введите с клавиатуры 2*x^2-x*y+y^2-x+y-5=0 — нажмите Enter |
|
Выберите цвет и толщину линии |
Меню Команды — Изменить цвет линии — установите в соответствующих полях окна диалога Стиль линии нужные параметры — ОК |

Аналогично постройте остальные две линии.